Hinweis:
Diese Funktionalität wird derzeit nur in Map Viewer Classic (zuvor als Map Viewer bezeichnet) unterstützt. Sie wird in einer zukünftigen Version des neuen Map Viewer verfügbar sein.
Mit dem Werkzeug Attribute zusammenfassen werden gleiche Feldwerte zum Erstellen einer Summentabelle zusammengefasst. Der resultierende Layer zeigt die Anzahl der zusammengefassten Features und alle zusätzlich angegebenen Statistiken an.
Workflow-Diagramm

Durchführen von Analysen mit GeoAnalytics Tools
Mit GeoAnalytics Tools durchgeführte Analysen werden mittels verteilter Verarbeitung auf mehreren ArcGIS GeoAnalytics Server-Computern und Kernen durchgeführt. GeoAnalytics Tools und Standard-Feature-Analysewerkzeuge in ArcGIS Enterprise verfügen über verschiedene Parameter und Funktionen. Weitere Informationen zu diesen Unterschieden finden Sie unter Unterschiede zwischen Feature-Analysewerkzeugen.
Beispiel
Tornados und Hurrikane zählen zu den gewaltigsten Stürmen, die in den USA auftreten. Sie möchten Sachbeschädigungen und finanzielle Verluste für Tornados und Hurrikane ermitteln, um deren unterschiedliche Auswirkungen zu vergleichen Sie haben Zugriff auf Tornado- und Hurrikandaten in den USA in einem einzelnen Dataset und möchten alle Informationen zusammenfassen, um jeweils eine Übersicht der Werte für alle Hurrikane bzw. Tornados anzuzeigen. Sie können die Daten nach Sturmtyp zusammenfassen, um die Statistiken für jeden Typ zu ermitteln.
Verwendungshinweise
Attribute zusammenfassen ist ein Werkzeug für Tabellenanalysen, kein räumliches Werkzeug.
Die grundlegendsten Aggregationen ermitteln die Anzahl der Features, die zusammengefasst wurden. Die Statistiken "Anzahl", "Summe", "Minimum", "Maximum", "Bereich", "Mittelwert", "Standardabweichung" und "Varianz" können auch für numerische Felder und die Statistiken "Anzahl" und "Beliebige" können für Zeichenfolgenfelder berechnet werden. Die Statistik wird für jede Gruppe getrennt berechnet.
Sie können ein oder mehrere Felder zum Zusammenfassen angeben oder alle Features zusammenfassen. Wenn Sie nach Feldern zusammenfassen, wird die Statistik für jede eindeutige Kombination aus Attributwerten berechnet.
Mit Attribute zusammenfassen können Sie auch Analysen mithilfe von Zeitschritten durchführen. Jeder Zeitschritt wird unabhängig von den Features außerhalb des Zeitschrittes analysiert. Für die Verwendung von Zeitintervallen müssen Zeiteigenschaften für Ihre Eingabedaten aktiviert sein und ein Zeitintervall darstellen. Bei Anwendung von Zeitschritten sind Ausgabe-Features Zeitintervalle, die durch die Felder START_DATETIME und END_DATETIME dargestellt werden.
Weitere Informationen zu Zeitschritten
Der Raumbezug für die Verarbeitung und der Raumbezug Ihrer Eingabedaten haben keine Auswirkungen auf Ihre Ergebnisse.
Wenn die Option Aktuelle Kartenausdehnung verwenden aktiviert ist, werden nur die Features analysiert, die in der aktuellen Kartenausdehnung sichtbar sind. Wenn diese Option nicht aktiviert ist, werden alle Beobachterpunkte im Eingabe-Layer analysiert, auch diejenigen, die sich außerhalb der aktuellen Kartenausdehnung befinden.
Einschränkungen
Eingaben können ein Tabellen-Layer oder ein Layer mit Geometrie (Punkte, Linien oder Flächen) sein.
Dieses Werkzeug lässt sich auf räumliche Daten anwenden und das Ergebnis ist tabellarisch. Mit Features verbinden können die Ergebnisse mit räumlichen Daten verbunden werden.
Funktionsweise des Werkzeugs "Attribute zusammenfassen"
Im Folgenden wird die Funktionsweise des Werkzeugs "Attribute zusammenfassen" beschrieben:
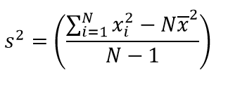
Gleichungen
Varianz wird mit der folgenden Gleichung berechnet:

Die Standardabweichung wird als Quadratwurzel der Varianz berechnet.
Berechnungen
Eingabe-Layer werden in Gruppen mit übereinstimmenden Feldwerten zusammengefasst. Die Ergebnisse sind tabellarisch und können daher nicht auf der Karte visualisiert werden.
Die nachfolgende Tabelle veranschaulicht die statistischen Berechnungen eines Layers, der mithilfe von identischen Feldwerten zusammengefasst werden. Das Feld VO2 wurde verwendet, um die numerischen Statistiken (Anzahl, Summe, Minimum, Maximum, Bereich, Mittelwert, Standardabweichung und Varianz) für den Layer zu berechnen. Mit dem Feld Rating wurde die Zeichenfolgenstatistik (Anzahl und Beliebige) für den Layer berechnet.

Die obige Tabelle wurde nach dem Feld Designation zusammengefasst. Das Feld VO2 wurde zum Berechnen der numerischen Statistiken (Anzahl,Summe, Minimum, Maximum, Bereich, Mittelwert, Standardabweichung und Varianz) für den Layer verwendet. Mit dem Feld Rating wurde die Zeichenfolgenstatistik (Anzahl und Beliebige) für den Layer berechnet. Als Ergebnis wird eine Tabelle mit zwei Features ausgegeben, die die eindeutigen Werte von Designation darstellen.

Die folgende Tabelle zeigt, wie die ersten Felder aussehen, wenn der Layer mit den Feldern Designation und Age Group zusammengefasst wird. Statistiken werden mit derselben Methode wie im vorherigen Beispiel berechnet.

Mit der Zählstatistik (für Zeichenfolgen und numerische Felder) wird die Anzahl der Nicht-NULL-Werte ermittelt. Die Anzahl der folgenden Werte ist gleich 5: [0, 1, 10, 5, null, 6] = 5. Die Anzahl dieser Gruppe von Werten ist gleich 3: [Primary, Primary, Secondary, null] = 3.
Beispiel für ArcGIS API for Python
Das Werkzeug "Attribute zusammenfassen" ist über ArcGIS API for Python verfügbar.
In diesem Beispiel werden ähnliche Sturmtypen zusammengefasst, um die Höhe der Sachschäden zu ermitteln.# Import the required ArcGIS API for Python modules
import arcgis
from arcgis.gis import GIS
from arcgis.geoanalytics import summarize_data
# Connect to your ArcGIS Enterprise portal and confirm that GeoAnalytics is supported
portal = GIS("https://myportal.domain.com/portal", "gis_publisher", "my_password", verify_cert=False)
if not portal.geoanalytics.is_supported():
print("Quitting, GeoAnalytics is not supported")
exit(1)
# Find the big data file share dataset you'll use for analysis
search_result = portal.content.search("", "Big Data File Share")
# Look through the search results for a big data file share with the matching name
bdfs_search = next(x for x in search_result if x.title == "bigDataFileShares_NaturalDisaters")
# Look through the big data file share for Storms
storms = next(x for x in bdfs_search.layers if x.properties.name == "StormData")
# Set the tool environments
arcgis.env.verbose = True
arcgis.env.defaultAggregations = True
summaryStatistics = [{"statisticType" : "Sum", "onStatisticField" : "PropertyDamage"}]
summarized_result = summarize_data.summarize_attributes(input_layer = storms,
fields = "Storm_type",
summary_fields = summaryStatistics,
output_name = "summarized_storms")
# Visualize the tool results if you are running Python in a Jupyter Notebook
processed_map = portal.map('USA')
processed_map.add_layer(summarized_result)
processed_map
Ähnliche Werkzeuge
Verwenden Sie Attribute zusammenfassen, um Features mit gleichen Werten zusammenzufassen. Andere Werkzeuge können bei ähnlichen, aber leicht abweichenden Problemstellungen hilfreich sein.
Map Viewer Classic-Analysewerkzeuge
Verwenden Sie zum Zusammenfassen von Punkten, Linien oder Flächen, die verschiedene räumliche Beziehungen verwenden, das Werkzeug Features verbinden.
ArcGIS Desktop-Analysewerkzeuge
Das Werkzeug Attribute zusammenfassen ist in ArcGIS Pro verfügbar.
Mit Attribute zusammenfassen werden die Funktionen des Werkzeugs Summenstatistik ausgeführt.